Utilizing such a document offers numerous advantages. It minimizes the risk of mechanics’ liens being filed against the property, which can complicate financing, sales, and future construction. It clearly defines the final payment amount and confirms project completion, facilitating efficient closeout procedures. This documentation provides legal protection for all parties involved and promotes transparency in financial transactions.
Understanding the components and proper usage of these forms is essential for effective construction project management. The following sections will explore the key elements of these waivers, different types available, and best practices for implementation.
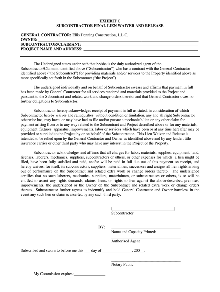
Key Components of a Subcontractor Final Lien Waiver
Specific elements ensure a legally sound and effective waiver. Careful attention to these components protects all parties involved.
1: Identification of Parties: Clear identification of the subcontractor, general contractor, and property owner is crucial. Full legal names and addresses should be included.
2: Project Description: A concise description of the project, including the property address and project name, ensures clarity and avoids confusion with other projects.
3: Payment Information: The total amount paid to the subcontractor should be explicitly stated. This includes the final payment and any previous payments made.
4: Scope of Work: A brief description of the work performed by the subcontractor ensures the waiver applies specifically to the completed work.
5: Lien Waiver Statement: Unequivocal language stating the subcontractor waives all lien rights upon receipt of the final payment is essential. This is the core purpose of the document.
6: Signatures and Dates: The document must be signed and dated by an authorized representative of the subcontracting company. Notarization may be required in some jurisdictions.
7: Through Date: This specifies the period covered by the waiver, protecting against potential claims for work performed up to a specific date.
Accurate and complete information in these areas provides a comprehensive record of the final payment and lien release, mitigating future disputes and protecting the interests of all stakeholders.
How to Create a Subcontractor Final Lien Waiver
Developing a robust and legally sound document requires careful consideration of specific elements. A well-drafted waiver protects all parties involved in a construction project. The following steps outline the creation process.
1: Consult Legal Counsel: Legal advice should be sought to ensure compliance with state-specific regulations and to address unique project circumstances. State laws vary, and a legal professional can provide guidance on required language and procedures.
2: Use a Template: Starting with a template ensures all essential components are included. Templates can be obtained from legal professionals, industry associations, or reputable online sources. Customization to fit specific project details is essential.
3: Clearly Identify Parties: Accurate and complete identification of the subcontractor, general contractor, and property owner is paramount. Full legal names, addresses, and contact information should be clearly stated.
4: Describe the Project: Include a concise project description, including the property address, project name, and a brief scope of work statement. This clarifies the specific work covered by the waiver.
5: Specify Payment Details: The total payment amount, including the final payment and any previous payments, must be explicitly stated. This ensures transparency and avoids future payment disputes.
6: Include a Clear Lien Waiver Statement: The core of the document is a clear and unambiguous statement in which the subcontractor waives all lien rights upon receipt of the final payment. This statement should be prominent and easily understood.
7: Ensure Proper Execution: The document must be signed and dated by an authorized representative of the subcontracting company. Witnessing or notarization may be required depending on local regulations or project requirements.
8: Retain Records: Copies of the executed waiver should be retained by all parties involved. This documentation provides a crucial record of the transaction and can be essential in resolving future disputes.
Thorough completion of these steps contributes significantly to a smooth project closeout and safeguards against potential legal complications. A properly executed waiver provides clear documentation of final payment and lien release, promoting financial security for all stakeholders.
Careful management of lien waivers represents a critical aspect of successful construction project administration. Understanding the components, creation process, and legal implications of these documents ensures timely project completion and minimizes financial risks for all parties involved. Proper execution and retention of these waivers provides a clear record of financial transactions, facilitating transparency and mitigating potential disputes. This diligent approach contributes significantly to a secure and efficient construction process, benefiting property owners, general contractors, and subcontractors alike.
Effective utilization of these waivers fosters a professional and legally sound environment within the construction industry. Proactive attention to these details promotes financial stability and reinforces positive working relationships among project stakeholders. Continued emphasis on proper documentation and legal compliance strengthens the industry and contributes to successful project outcomes.



